Climate change project produces tools to cope with increasing rainfall
A new flood risk assessment tool developed by the environmental engineering consultancy MWH can help water utilities cope with the effects of climate change on sewerage system performance.
Troubling predictions of more frequent and intense rainfall patterns in the United Kingdom prompted the global consultancy MWH to develop a modelling and data analysis tool that can help water utilities worldwide solve sewer flooding problems and, in particular, assess potential flood damage on individual property.
Results from a 2-1/2-year project entitled “Climate Change and the Hydraulic Design of Sewerage Systems,” undertaken by a team from MWH, HR Wallingford, the Meteorological Office, and Imperial College in the UK, evaluated the potential effects of climate change on the performance of sewerage systems.
Working with the UKCIP 1998 and latterly 2002 scenarios, this research was part of the UK Water Industry Research Ltd (UKWIR) project that set out to:
•quantify the effects of climate change on likely future rainfall patterns in the UK;
•provide guidance for engineers on suitable design rainfall events that allow for the effects of climate change;
•develop a stochastic tool for generating synthetic rainfall time series incorporating climate change effects;
•determine the impact of climate change on the performance of selected sewerage systems;
•estimate the increased impact on sewer base flows and treatment costs, and;
•assess the overall impact of climate change for UK water industry.
Completed in 2004, the project predicted that future rainfall patterns are likely to change from current patterns, although considerable uncertainty over the magnitude of future climate change exists. Changes in climate will differ from one part of the UK to another and, although summers are predicted to become drier, less frequent rain events are likely to be much more severe, with greater rainfall intensity.
Since rainfall is the primary input to sewerage systems, increased flooding and increased spills from combined sewer overflows (CSO) can be expected. Indeed, while sewer flooding incidents do occur as a result of sewer blockages or collapse, they are most often due to overloading during storm events - occurrences set to increase as a result of climate change. Similarly, increases in mean sea level will affect tide-locked outfalls and decreases in summer river base flows will worsen the effects of continuous and intermittent discharges.
The project team produced rainfall maps that enable engineers to determine the design of rainfall events that allow for the effects of climate change. These maps allow current design rainfall to be rescaled so that an engineer can predict the likely future effects of climate change on sewerage system performance.
The team also developed a stochastic rainfall generator that can produce time series rainfall data for future climates, suitable for sewer network modelling. Built by Imperial College it generated 100-year five-minute time series suitable for use in sewer network modelling. The series were used to analyse CSO spill frequency and volume and assess receiving water impacts. The time series were also used to predict changes in infiltration and treatment works flows.
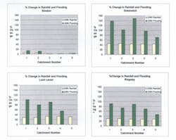
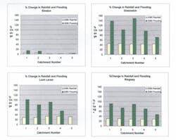
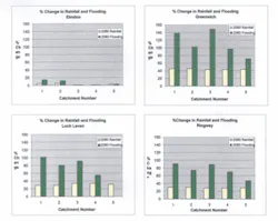
The research also showed that for many areas in the UK, climate change may result in an increase in rainfall depths in excess of 1.4 x current values with a subsequent doubling of flood frequency and volume. Consequently, storage volumes to prevent internal property flooding may need to be increased by more than two fold.
Climate location has a much greater influence on flooding performance than drainage area type or size. The effect of climate change on sewer flooding is evident because the proportional increase in flooding is significantly in excess of the proportional increase in rainfall in most cases. Although, catchment and sewer network characteristics influence the results, the most important parameter affecting flooding is rainfall changes. Only minor increases in flooding are expected where climate change may be minimal; however flooding is expected to be up to 150% greater where the greatest change is predicted.
Increases in storage volume to meet spill frequency standards for coastal CSOs for the 2080 scenario are substantial with up to a six-fold increase for shellfish waters and a seven-fold increase for bathing waters. The larger the increase in rainfall the larger the storage volume required to deliver a solution.
Water quality analysis indicates minimal impact on receiving waters in the south (assuming no change in river base flow) with the likelihood of impacts increasing to the north.
The effect of climate change in reducing river base flows is likely to have a significant additional detrimental effect on river quality requiring additional provision of around 60% storage volume for a 20% reduction in river flow, for example.
Changes to infiltration from groundwater into sewers is closely related to the change in average annual rainfall. The results show that the effects due to climate change are minimal and the resulting effects on wastewater treatment facility inflows are small.
Tackling sewer flooding incidents is already a high priority for the UK water industry and will become more so as a result of climate change. Determining the risk of sewer flooding requires an assessment of both probability and consequence. Assessing flood probability (frequency) using computer models of sewer networks is a well-established practise, but assessing the impact of flooding is not so well developed. So the finding that flood frequency and volume would double under the Met Office’s forecast of rainfall depths reaching 1.4 times their current levels by 2080 spurred MWH to develop an enhanced modelling and data analysis tool, which would help the UK water industry tackle sewer flooding.
The new flood risk assessment tool enables clients to:
•Identify properties at risk from sewer flooding;
•Attribute the risk separately to sewer surcharging or surface flooding;
•Quantify the risk to help prioritise schemes for flood mitigation;
•Compare the risk assessment with flooding records;
•Better understand the link between cause and effect to develop more robust solutions;
•Evaluate the benefits of alternative solutions in a consistent way, and;
•Determine the potential effects of new development or climate change.
The flooding of property and premises may be attributed to the backing-up of flow from surcharged sewers or from overland flow from flooding at manholes. MWH’s approach is to take level data from property, manholes and spot heights to build a digital terrain model. Property levels, including cellars, are then compared with the levels of hydraulic gradient and surface flooding at adjacent manholes, to assess which properties are most likely to be flooded. Thus the consequence of sewer overloading is assessed for each individual property in the drainage area. Combining this with the flood probability (return period) gives a risk assessment. Results are displayed in an easy-to-read GIS format and can be compared with flooding records.
MWH based the tool on extensive experience of sewer network modelling for clients in Europe, Asia and the Americas - in particular the surface modelling of floodwater in central Hong Kong. MWH engineers have also been piloting the tool on example catchments with clients and in the UK Office of Science and Technology Foresight programme on Floods and Coastal Defence. The engineers concluded that at a result of climate change, the number of properties at high risk of urban flooding (that is those that have a 10 percent chance of flooding in any one year) - was set to grow four-fold by 2080 and sewer flooding incidents could more than double.
David Balmforth, the senior principal engineer at MWH, explained how the tool enhances the computer modelling systems traditionally used by water utilities: “We can now produce a much finer level of detail. Rather than saying ‘There will be water in this street,’ we can say things like ‘if there’s 300m3 of water in one and a half hours, 90 percent of the street will be OK, but 10 percent won’t. And in those houses, there will be 450mm of water.’” He added: “Water companies need tight numbers… it can mean the difference between number 30 flooding and number 31 on the same street. To reach our conclusions, we took the outputs from sewer models and looked at flow pathways - kerbs, door thresholds and so on - to see which would be OK under certain conditions. We could then produce a series of maps showing which properties were at risk.”
Solving these potential impacts through engineering alone would prove prohibitively expensive. Although a substantial investment programme to upgrade sewers, drains and other urban drainage systems are going to be needed. MWH Business Director Ian Noble believes new solutions must be pursued, such as sustainable urban drainage systems to reduce the amount of run-off; using roads to divert flows rather than putting in bigger and bigger pipes; and action at the property level.
Author’s Note
Ken Farrer is the vice chairman of MWH UK, an environmental engineering consultancy with a staff of 6,100 worldwide. The company provides services to government agencies, utility companies and multinational organisations in more than 36 countries. Visit www.mwhglobal.com for more information.
A White Paper is available on the research study “Effects of Climate Change on Sewer System Performance” by Peter Spillet, UKWIR, Richard Kellagher, HR Wallingford and David Balmforth, MWH.





